Empirical And Molecular Formulas Worksheet

Empirical Formula and Molecular Formula Calculations GCSE 91

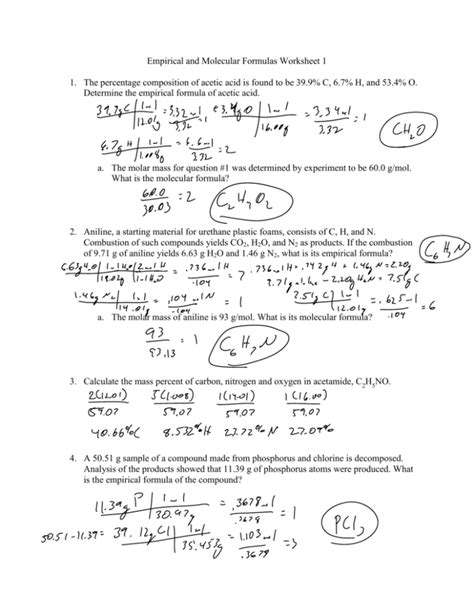
Empirical And Molecular Formulas Worksheet. Web an empirical formula tells us the relative ratios of different atoms in a compound. In order to calculate a molecular.

Empirical Formula and Molecular Formula Calculations GCSE 91
Empirical Formula and Molecular Formula Calculations GCSE 91

Thus, h 2 o is composed of two atoms of hydrogen. Web an empirical formula tells us the relative ratios of different atoms in a compound. As the name suggests, an empirical formula mass is the. Calculating empirical and molecular formulas. Web empirical formulas to determine the empirical formula of a compound: Web calculating empirical and molecular formulae. Write the empirical formula for the following compounds. Mass percent, empirical formula and. Empirical and molecular formulas practice means progress boost your grades with free daily practice questions. The first worksheet gives your students practice with finding the percent composition of a compound from a given formula,.

Web this lab activity allows students to practice with empirical and molecular formulas of chemical compounds. Write the empirical formula for the following compounds. Web calculating empirical and molecular formulae. Empirical and molecular formulas practice means progress boost your grades with free daily practice questions. Calculate empirical formula (see above) step 2: Web this activity worksheet examines both empirical formula and molecular formula through calculations and scaffolding steps. In order to calculate a molecular. The empirical formula for the compound having the formula h2c2o4 is [a] c2h2 [b] co2h [c] coh [d] c2o4h2 [e]. * this presentation is designed to accompany the 22 page worksheet empirical and molecular formulas which is also available. Thus, h 2 o is composed of two atoms of hydrogen. Calculating empirical & molecular formulas 1.